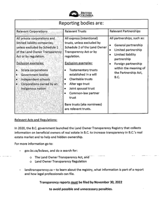
Land Owner Transparency Act
The Land Owner Transparency Act is a law which created a publicly accessible database of information about certain individuals with an indirect interest in land in BC – such as through a corporation, trust, or partnership – and was designed as a part of the province’s plan to address concerns about housing affordability by ending hidden ownership.
Since the Land Owner Transparency Act came into force on November 30th, 2020, letters have been issued to individuals who are deemed to have an indirect interest in land urging them to file before the deadline. The extended deadline for existing reporting bodies to file is November 30th, 2022. Failing to file on time could result in penalties of $50,000 or 5% of the assessed value of the property – whichever is greater.
Furthermore, only a legal professional can file on behalf of a reporting body.
If you have received a letter from the Land Owner Transparency Registry of British Columbia and need to file, we can help.
Please fill out the form below to initiate the process and we will be in touch with you promptly.
f you have any questions about the Land Owner Transparency Act or the Land Owner Transparency Registry, please feel free to contact us at (250) 426-8981.
Our hours of operations are Monday to Friday from 8:30am – 4:30pm.
PLEASE NOTE: all requests for assistance in filing must be received by our office by October 21, 2022.
You may reach us using the contact form below:

